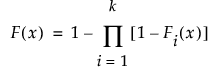
In a competing cause situation, the aggregated failure function can be written as follows:

where Fi(x) is the cumulative failure distribution for the ith cause and k is the total number of causes. The function Fi(x) is cause-specific. It reflects the probability of failure due to cause i alone and does not account for other causes of failure.
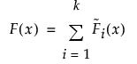
An alternative formulation is defined as follows:

where each
is a monotone increasing function with values in the interval [0, 1]. The function
is called a subdistribution. This form of the aggregated failure distribution is used to predict proportions of failures that are associated with individual causes, accounting for failure due to other causes.