The Space Filling Design red triangle menu contains optimality criteria under FFF Optimality Criterion.
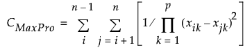
MaxPro for Continuous Factors
For p continuous factors and n equal to the specified Number of Runs, the MaxPro criterion strives to find points in the clusters that minimize the following criterion:

The MaxPro criterion maximizes the product of the distances between potential design points in a way that involves all factors. This supports the goal of providing good space-filling properties on projections of factors. See Joseph et al. (2015). The Max Pro option is the default.
MaxPro for Designs with non-Continuous Factor Types
For designs with non-continuous factor types the MaxPro criterion follows the methodology of Joseph et al. (2020). For p1 continuous factors, p2 non-continuous factors, m levels of discrete factor k, and n equal to the specified Number of Runs, the MaxPro criterion strives to find points in the clusters that minimize the following criterion:

Centroid
This method places a design point at the centroid of each cluster. It has the property that the average distance from an arbitrary point in the design space to its closest neighboring design point is smaller than for other designs.
Note: You can set a preference to always use a given optimality criterion. Select File > Preferences > Platforms > DOE. Select FFF Optimality Criterion and select your preferred criterion.
When you have categorical factors, the algorithm proceeds as follows:
• The total number of design points is balanced across the total number of combinations of levels of the categorical factors. Suppose that there are m combinations of levels and that k design points are allocated to each of these.
• A large number of points within the design space defined by the continuous variables is generated. These are grouped into k primary clusters.
• Each of the k primary clusters of points is further clustered into m sub-clusters.
• Within each primary cluster, a design point is calculated for each of the m sub-clusters using the specified FFF optimality criterion.
• For each of the k primary clusters, one of the m combinations of levels is randomly assigned to each of the m sub-cluster design points. This yields a total of km design points.
• For each of the k primary clusters, a design point is chosen for each of the m combinations of levels according to the MaxPro criterion, where points having the same level of a categorical factor are multiplied by the MaxPro Categorical Weight. (For a description of MaxPro Categorical Weight, see Space Filling Design Options.) This process continues through all k primary clusters 10 times, or until no improvement is found by changing the given design points.
The Set Average Cluster Size option enables you to specify the average number of randomly- generated points used to define each cluster or, equivalently, each design point. The option is found under Advanced Options in the Space Filling Design red triangle menu.
By default, if the Number of Runs is set to 200 or less, a total of 10,000 randomly generated points are used as the basis for the clustering algorithm. When the number of Runs exceeds 200, a default value of 50 is used. Increasing this value can be particularly useful in designs with a large number of factors or where disallowed combinations restrict the distribution of points used in the clustering algorithm.
Note: Depending on the number of factors and the specified value for Number of Runs, you might want to increase the average number of initial points per design point by selecting Advanced Options > Set Average Cluster Size.