Use the Nonparametric Reliability Demonstration Explorer to determine the number of units to put on test for a reliability demonstration when there is not an assumed failure rate distribution. Select DOE > Sample Size Explorers > Reliability > Nonparametric Reliability Demonstration. Explore the trade offs between reliability, significance, number of failures, and the number of units to test.
Set study assumptions and explore sample sizes using the radio buttons, text boxes, and menus. The profiler updates as you make changes to the settings. Alternatively, change settings by dragging the cross hairs on the profiler curves.
Preliminary Information
Alpha
Specifies the significance level, 1 - Alpha. The default alpha is 0.05.
The profiler enables you to visualize the impact of sample size assumptions on a nonparametric reliability demonstration study.
Solve for
Enables you to solve for the sample size or maximum failures.
Demonstration Reliability
Specifies the probability that the item under test survives the demonstration.
Sample Size
Specifies the total number of units on test needed for your demonstration.
Max Failures
Specifies the maximum number of failures allowed for a successful test demonstration.
The Explorer red triangle menu and report buttons provide additional options:
Simulate Data
Opens a data table of simulated data based on the explorer settings. View the simulated response column formula for the settings used.
Make Data Collection Table
Creates a new data table that you can use for data collection. The table includes scripts to facilitate data analysis.
Save Settings
Saves the current settings to the Saved Settings table. This enables you to save a set of alternative study plans. See Saved Settings in the Sample Size Explorers.
Help
Opens JMP help.
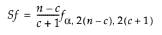
For a nonparametric reliability demonstration test, the demonstrated reliability is computed based on the Binomial distribution. The α quantile of the Binomial cdf can be computed by a transformation to an α quantile from the F-distribution, see Jowett (1963).
The reliability is calculated as follows:

where

and c is the maximum number of failures allowed during the demonstration.