Use the Parametric Reliability Demonstration Explorer to determine the number of units to put on test for a reliability demonstration. Select DOE > Sample Size Explorers > Reliability > Parametric Reliability Demonstration. Explore the trade offs between time, significance, number of failures, and the number of units to test.
Set study assumptions and explore sample sizes using the radio buttons, text boxes, and menus. The profiler updates as you make changes to the settings. Alternatively, change settings by dragging the cross hairs on the profiler curves.
Preliminary Information
Alpha
Specifies the significance level, 1 - Alpha. The default alpha is 0.05.
Distribution
Specifies the assumed failure time distribution. Distributions available are: Weibull and Lognormal. For more information about these distributions, see Statistical Details for the Life Distribution Platform in Reliability and Survival Methods.
Demonstration Time
Specifies the minimum length of time that an item under test should survive with the intended reliability.
The profiler enables you to visualize the impact of sample size assumptions on a reliability demonstration study.
Solve for
Enables you to solve for the sample size, maximum failures, reliability, or shape parameter.
Test Time
Specifies the length of the demonstration test.
Sample Size
Specifies the total number of units on test needed for your demonstration.
Max Failures
Specifies the maximum number of failures allowed for a successful test demonstration. The maximum number of failures must be less than the sample size.
Demonstration Reliability
Specifies the probability that an item under test survives until the defined Demonstration Time of the reliability standard
Shape Parameter
Specifies the scale parameter for the failure time distribution.
The Explorer red triangle menu and report buttons provide additional options:
Simulate Data
Opens a data table of simulated data based on the explorer settings. View the simulated response column formula for the settings used.
Make Data Collection Table
Creates a new data table that you can use for data collection. The table includes scripts to facilitate data analysis.
Save Settings
Saves the current settings to the Saved Settings table. This enables you to save a set of alternative study plans. See Saved Settings in the Sample Size Explorers.
Help
Opens JMP help.
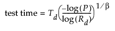
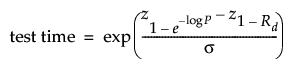
For a parametric reliability demonstration test, the test time needed to demonstrate that the product achieves a demonstration time Td with reliability Rd is computed using a Binomial distribution with probability of success computed using the assumed lifetime distribution.
The test time for the Weibull distribution is computed as follows:

The test time for the lognormal distribution is computed as follows:

where


and c is the maximum number of failures allowed during the demonstration.