Use the Power for Two Independent Sample Proportions Explorer to determine a sample size for a hypothesis test for proportions from two groups. Select DOE > Sample Size Explorers > Power > Power for Two Independent Sample Proportions. Explore the trade offs between sample size, power, significance, and the hypothesized difference to detect. Sample size and power are associated with the following hypothesis test:

versus the two-sided alternative:

or versus either of the following one-sided alternatives:
or 
where p1 and p2 are the population proportions from two populations, and D0 is the hypothesized difference in proportions.
Set study assumptions and explore sample sizes using the radio buttons, text boxes, and menus. The profiler updates as you make changes to the settings. Alternatively, change settings by dragging the cross hairs on the profiler curves.
Test Type
Specifies a one or two-sided hypothesis test.
Preliminary Information
Alpha
Specifies the probability of a type I error, which is the probability of rejecting the null hypothesis when it is true. It is commonly referred to as the significance level of the test. The default alpha level is 0.05.
The profiler enables you to visualize the impact of sample size assumptions on the power calculations.
Total Sample Size
Specifies the total number of observations (runs, experimental units, or samples) needed for your experiment. Select Lock to lock the total sample size.
Solve for
Enables you to solve for a sample size or a group proportion.
Power
Specifies the probability of rejecting the null hypothesis when it is false. With all other parameters fixed, power increases as sample size increases.
Group 1 Sample Size
Specifies the number of observations (runs, experimental units, or samples) needed for Group 1 in your experiment.
Group 2 Sample Size
Specifies the number of observations (runs, experimental units, or samples) needed for Group 2 in your experiment.
Group 1 Proportion
Specifies the proportion that you assume for Group 1.
Group 2 Proportion
Specifies the proportion that you assume for Group 2.
Note: Adjusting the sample size for one group adjusts the total sample size unless the total sample size is locked. In that case, adjusting the sample size for one group adjust the sample size for the second group. Use the text boxes to specify group sample sizes.
The Explorer red triangle menu and report buttons provide additional options:
Simulate Data
Opens a data table of simulated data based on the explorer settings. View the simulated response column formula for the settings used.
Make Data Collection Table
Creates a new data table that you can use for data collection. The table includes scripts to facilitate data analysis.
Save Settings
Saves the current settings to the Saved Settings table. This enables you to save a set of alternative study plans. See Saved Settings in the Sample Size Explorers.
Help
Opens JMP help.
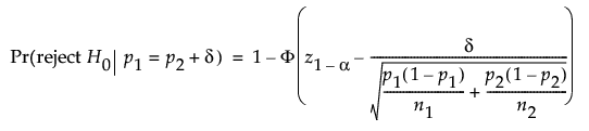
The power calculations for testing the difference in proportions from two sample groups are based on the normal approximation. The calculations depend on the form of the alternative hypothesis. For a one-sided, higher alternative (p1 > p2):

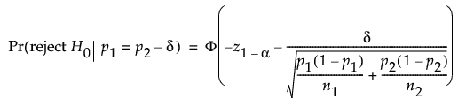
For a one-sided, lower alternative (p1 < p2):

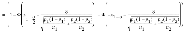
For a two-sided alternative (p1 ≠ p2):


where:
α is the significance level
n1 and n2 are the group sample sizes
p1 and p2 are the group proportions
δ is the difference to detect
z1-α is the (1 - α)th quantile of the distribution
Φ(x) is the cumulative distribution function of the normal distribution.