Statistical Details for Distributions
The distributions fit by the Generalized Regression personality are defined in terms of the parameters used in model fitting. Although it is not specifically stated as part of their descriptions, the Generalized Regression personality enables you to specify non-integer values for the discrete distributions.
Continuous Distributions
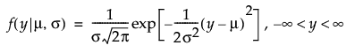
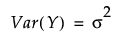
Normal Distribution



Cauchy Distribution



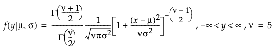
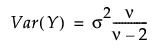
t(5) Distribution



Exponential Distribution



Gamma Distribution



Weibull Distribution



LogNormal Distribution



Negative LogNormal Distribution



Beta Distribution



Discrete Distributions
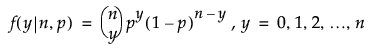
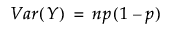
Binomial Distribution



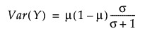
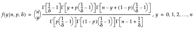
Beta Binomial Distribution



Poisson Distribution



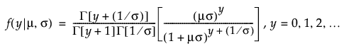
Negative Binomial Distribution



Zero-Inflated Distributions
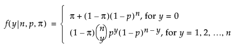
Zero-Inflated Binomial Distribution



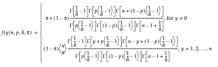
Zero-Inflated Beta Binomial Distribution



Zero-Inflated Poisson Distribution



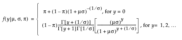
Zero-Inflated Negative Binomial Distribution



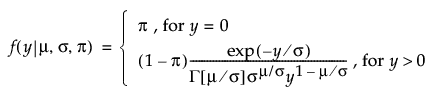
Zero-Inflated Gamma Distribution


