In the Principal Components platform, the calculations in the Outlier Analysis report use the following notation:
n = number of observations
A = number of principal components
Xci = the standardized data for the ith observation
The T2 statistic for the ith observation is calculated as follows:

where PA is a matrix containing the first A eigenvectors and L is a diagonal matrix containing the first A eigenvalues.
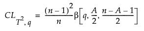
The median and UCL for the T2 plot are calculated as follows:

where
the qth quantile of the Beta
distribution.
To calculate the median, use q = 0.5. To calculate the UCL, use q = (1 - α).
For information about the contribution statistic, see Statistical Details for Contributions in Quality and Process Methods.