For the nonpoolable model that fits different intercepts and slopes, the standard errors for the slope and intercepts of the linear degradation models are described below.
For the model intercept, the standard error is equivalent to the following formula:

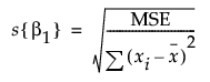
For the model slope, the standard error is equivalent to the following formula:
