For the latest version of JMP Help, visit JMP.com/help.


Design of Experiments Guide > Technical Details > The Alias Matrix > Designs with Hard or Very Hard Factor Changes
Publication date: 04/21/2023

Designs with Hard or Very Hard Factor Changes

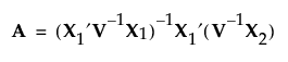
For designed experiments with hard-to-change or very-hard-to-change factors, the alias matrix is given as follows:

Equation shown here

where V is the block diagonal covariance matrix of the responses.

Want more information? Have questions? Get answers in the JMP User Community (community.jmp.com).