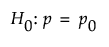
Use the Power for One Sample Proportion Explorer to determine a sample size for a hypothesis test about one proportion. Select DOE > Sample Size Explorers > Power > Power for One Sample Proportion. Explore the trade offs between sample size, power, significance, and the hypothesized difference to detect. Sample size and power are associated with the following hypothesis test:

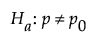
versus the two-sided alternative:

or versus a one-sided alternative:
or 
where p is the population proportion and p0 is the null proportion.
Set study assumptions and explore sample sizes using the radio buttons, text boxes, and menus. The profiler updates as you make changes to the settings. Alternatively, change settings by dragging the cross hairs on the profiler curves.
Test Type
Specifies a one or two-sided hypothesis test.
Preliminary Information
Alpha
Specifies the probability of a type I error, which is the probability of rejecting the null hypothesis when it is true. It is commonly referred to as the significance level of the test. The default alpha level is 0.05.
Test Method
Exact Test
Specifies calculations based on the Clopper-Pearson methodology.
Normal Approximation
Specifies calculations based on the normal approximation methodology.
Tip: Since the binomial distribution is discrete, the actual test size can differ significantly from the stated Alpha level for small samples or proportions near 0 or 1. To guarantee an alpha level equal to or greater than your stated level, use the Exact test.
The profiler enables you to visualize the impact of sample size assumptions on the power calculations.
Solve for
Enables you to solve for sample size, assumed proportion, or the alternative proportion.
Power
Specifies the probability of rejecting the null hypothesis when it is false. With all other parameters fixed, power increases as sample size increases.
Sample Size
Specifies the total number of observations (runs, experimental units, or samples) needed for your experiment.
Assumed proportion (p0)
Specifies the proportion that you anticipate or assume for your study, the null hypothesis value.
Alternative proportion (pA)
Specifies the proportion that you test against, the alternative hypothesis value.
The Explorer red triangle menu and report buttons provide additional options:
Simulate Data
Opens a data table of simulated data based on the explorer settings. View the simulated response column formula for the settings used.
Make Data Collection Table
Creates a new data table that you can use for data collection. The table includes scripts to facilitate data analysis.
Save Settings
Saves the current settings to the Saved Settings table. This enables you to save a set of alternative study plans. See Saved Settings in the Sample Size Explorers.
Help
Opens JMP help.
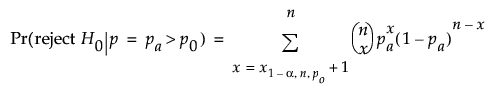
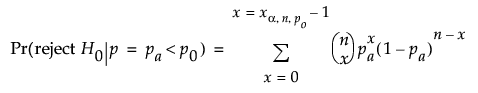
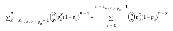
For the exact test, the power is computed based on the form of the alternative hypothesis.
For one-sided, higher alternative:

for a one-sided, lower alternative:

for a two-sided alternative:


where xq,n,p is the qth quantile of a binomial distribution with n trials and probability p.
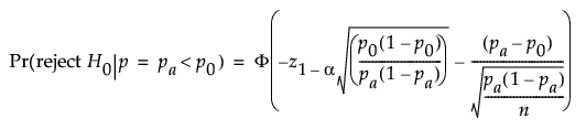
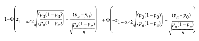
For the normal approximation, the power is computed based on the form of the alternative hypothesis.
For a one-sided, higher alternative:

For a one-sided, lower alternative:

For a two-sided alternative:

