This section provides the formulas used in calculating distances based on the Method that you select in the Hierarchical Cluster launch window. For a description of the methods, see Method.
The formulas use the following notation, where lowercase symbols generally pertain to observations and uppercase symbols to clusters:
n is the number of observations
v is the number of variables
xi is the ith observation
CK is the Kth cluster, subset of {1, 2,..., n}
NK is the number of observations in CK
is the sample mean vector
is the mean vector for cluster CK
is the square root of the sum of the squares of the elements of x (the Euclidean length of the vector x)
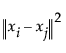
d(xi, xj) is
Average Linkage
The distance for the average linkage cluster method is:

Centroid Method
The distance for the centroid method of clustering is:

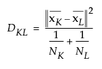
Ward’s
The distance for Ward’s method is:

Single Linkage
The distance for the single linkage cluster method is:

Complete Linkage
Distance for the Complete linkage cluster method is:
