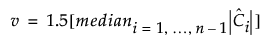
The value for Lenth’s PSE is shown at the bottom of the Fit Two Level Screening report. Lenth’s method (Lenth 1989), known as the Lenth Pseudo Standard Error (PSE), constructs an estimate of the residual standard error using effects that appear to be inactive. Lenth’s PSE can be used to estimate the standard error for experiments where contrasts are independent and have a common variance.
If there are n rows, the platform constructs n - 1 contrasts. Denote these contrasts by
, where i = 1, ... , n - 1.
To obtain Lenth’s PSE, first calculate the following:

Lenth’s PSE is based on the effects that are likely to be inactive and is defined as follows:
