In Control Chart Builder, the lower and upper control limits, LCL, and UCL, respectively, are computed using the following formulas:
P chart LCL = 
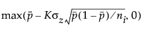
P chart UCL = 
NP chart LCL = 
NP chart UCL = 
Laney P′ chart LCL = 
Laney P′ chart UCL = 
where:
is the average proportion of nonconforming items taken across subgroups

ni is the number of items in the ith subgroup
K is the sigma multiplier and is set to 3 by default
σz is a moving range sigma calculated from the standardized values