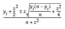
The Distribution platform computes score confidence intervals for the probabilities in each level of a categorical response variable. For each level of the response, the score confidence intervals are defined as follows:

where:
yi is the number of observations in the ith level of the response
n is the overall number of observations
z is the (α/2)th quantile of the standard normal distribution
See Agresti and Coull (1998).