This section contains statistical details about the algorithm used to select points for space-filling design augmentation.
The algorithm that is used to augment designs begins by generating a large number of random points within the specified design region. These points are then clustered using a Fast Ward algorithm into a number of clusters that equals the Number of Additional Runs that you specify.
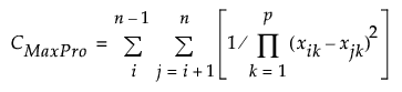
The final design points are obtained by optimizing the MaxPro (maximum projection) criterion over the existing and additional runs. For p factors and n equal to the number of existing and additional runs, the MaxPro criterion strives to find points in the clusters that minimize the following criterion:

The MaxPro criterion maximizes the product of the distances between design points in a way that involves all factors. This supports the goal of providing good space-filling properties on projections of factors. See Joseph et al. (2015).