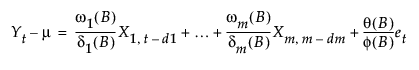
A typical transfer function model with m inputs can be represented as follows:

where
Yt denotes the output series
X1 to Xm denote m input series
et represents the noise series
X1, t–d1 indicates the series X1 is indexed by t with a d1-step lag
μ represents the mean level of the model
and θ(B) represent autoregressive and moving average polynomials from an ARIMA model
ωk(B) and δk(B) represent numerator and denominator factors (or polynomials) for individual transfer functions, with k representing an index for the 1 to m individual inputs.
Each polynomial in the above model can contain two parts, either nonseasonal, seasonal, or a product of the two as in seasonal ARIMA. When specifying a model, leave the default 0 for any part that you do not want to include in the model.