In Control Chart Builder, control limits for XBar and S charts are generated using the following formulas:
LCL for XBar chart = 
UCL for XBar chart = 
LCL for S chart = 
UCL for S chart = 
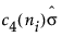
Center line for S chart: By default, the center line for the ith subgroup indicates an estimate of the expected value of si. This value is computed as
, where
is an estimate of σ.
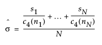
The estimate for the standard deviation for XBar and S charts is:

where:
= weighted average of subgroup means
K = the sigma multiplier and is set to 3 by default
σ = process standard deviation
ni = sample size of ith subgroup
c4(n) is the expected value of the standard deviation of n independent normally distributed variables with unit standard deviation
c5(n) is the standard error of the standard deviation of n independent normally distributed variables with unit standard deviation
N is the number of subgroups for which ni ≥ 2
si is the sample standard deviation of the ith subgroup