Parameter Estimates for Original PredictorsIn the Generalized Regression report, the Parameter Estimates for Original Predictors section gives estimates and other results for all parameters in the model. The initial table includes the coefficients for the predictors in the model. An additional table includes other model parameters such as scale, dispersion, or zero inflation parameters. See Specify a Distribution. Both tables include the same columns of results.
Tip: You can click terms in the Parameter Estimates for Original Predictors report to highlight the corresponding paths in the Solution Path Plot. The corresponding columns in the data table are also selected. This is useful when running further analyses. Press Shift and click the terms to select multiple rows.
The Parameter Estimates for Original Predictors report gives parameter estimates for the model expressed in terms of the original (uncentered and unscaled) predictors.
The report provides the following information:
Term
A list of the model terms. “Forced in” appears next to any terms that were forced into the model using the Advanced Controls option.
Estimate
The parameter estimate corresponding to the model term given in terms of the original measurements.
Std Error
The standard error of the estimate. This is obtained using M-estimation and a sandwich formula (Zou 2006 and Huber and Ronchetti 2009).
t Ratio or Wald ChiSquare
The test statistic of whether the true value of each parameter is zero. If the specified Estimation Method is not a penalized regression method, the Normal distribution is specified, and no censoring is specified, the t Ratio column appears. Otherwise, the Wald ChiSquare column appears. See Estimation Method Options.
Prob>|t| or Prob > ChiSquare
The p-value for the test that the true parameter value is zero, against the two-sided alternative that it is not. If the specified Estimation Method is not a penalized regression method, the Normal distribution is specified, and no censoring is specified, the Prob>|t| column appears. Otherwise, the Prob > ChiSquare column appears. See Estimation Method Options.
Lower 95%
The lower bound for a 95% confidence interval for the parameter. You can change the α level in the Fit Model window by selecting Set Alpha Level from the Model Specification red triangle menu.
Upper 95%
The upper bound for a 95% confidence interval for the parameter. You can change the α level in the Fit Model window by selecting Set Alpha Level from the Model Specification red triangle menu.
Singularity Details
(Available only if there are linear dependencies among the model terms.) The linear function that the model term satisfies.
VIF
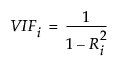
(Available only when the distribution is Normal. Appears only if you right-click in the parameter estimates table and select Columns > VIF.) The variance inflation factor (VIF) for each term in the model. High VIF values indicate a collinearity issue among the terms in the model.
The VIF for the ith term, xi, is calculated as follows:

where Ri 2 is the RSquare for the regression of xi as a function of the other explanatory variables.