Use the Power for One Sample Variance Explorer to determine a sample size for a hypothesis test about one variance. Select DOE > Sample Size Explorers > Power > Power for One Sample Variance. Explore the trade offs between sample size, power, significance, and the hypothesized difference to detect (defined as a ratio between the null and alternative hypothesis values). Sample size and power are associated with the following hypothesis test:

versus the two-sided alternative:

or versus a one-sided alternative:
or 
where σ is the true variance and σ0 is the null variance or reference value. The difference to detect is an amount away from σ0 that one considers as important to detect based on a set of samples. This difference is expressed as the ratio of σ0/σa, or the ratio of your null variance and your assumed variance under the alternative hypothesis. For the same significance level and power, a larger sample size is needed to detect a small difference in variances than to detect a large difference. It is assumed that the population of interest is normally distributed with mean μ and standard deviation σ.
Set study assumptions and explore sample sizes using the radio buttons, text boxes, and menus. The profiler updates as you make changes to the settings. Alternatively, change settings by dragging the cross hairs on the profiler curves.
Test Type
Specifies a one or two-sided hypothesis test.
Preliminary Information
Alpha
Specifies the probability of a type I error, which is the probability of rejecting the null hypothesis when it is true. It is commonly referred to as the significance level of the test. The default alpha level is 0.05.
The profiler enables you to visualize the impact of sample size assumptions on the power calculations.
Solve for
Enables you to solve for sample size or the variance ratio.
Power
Specifies the probability of rejecting the null hypothesis when it is false. With all other parameters fixed, power increases as sample size increases.
Sample Size
Specifies the total number of observations (runs, experimental units, or samples) needed for your experiment.
Variance Ratio
Specifies the ratio of the variance under the null hypothesis (reference variance) to the variance under the alternative hypothesis (expected variance).
The Explorer red triangle menu and report buttons provide additional options:
Simulate Data
Opens a data table of simulated data based on the explorer settings. View the simulated response column formula for the settings used.
Make Data Collection Table
Creates a new data table that you can use for data collection. The table includes scripts to facilitate data analysis.
Save Settings
Saves the current settings to the Saved Settings table. This enables you to save a set of alternative study plans. See Saved Settings in the Sample Size Explorers.
Help
Opens JMP help.
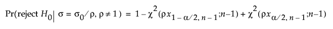
The power calculations for testing the variance of one sample group is based on the χ2 test. Calculations are based on the form of the alternative hypothesis.
For a one-sided, higher alternative (σ > σ0):

for a one-sided, lower alternative (σ < σ0):

for a two-sided alternative (σ ≠ σ0):

where:
α is the significance level
n is the sample size
ρ=σ0/σa
x1-α,n is the (1 - α)th quantile of a central χ2 distribution with ν degrees of freedom
χ2(x, ν) is the cumulative distribution function of a central χ2 distribution with ν degrees of freedom.