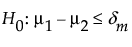
Use the Power for Two Independent Sample Equivalence of Means Explorer to determine a sample size for an equivalence test of two groups. Select DOE > Sample Size Explorers > Power > Power for Two independent Sample Equivalence. Explore the trade offs between variability assumptions, sample size, power, significance, and the equivalence range. Sample size and power are associated with the following hypothesis test:
or 
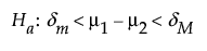
versus the alternative:

where μ1 and μ2 the true group means and (δm, δM) is the equivalence range. For the same significance level and power, a larger sample size is needed to detect a small difference than to detect a large difference. It is assumed that the populations of interest are normally distributed.
Set study assumptions and explore sample sizes using the radio buttons, text boxes, and menus. The profiler updates as you make changes to the settings. Alternatively, change settings by dragging the cross hairs on the profiler curves.
Test Type
Options to specify your test.
Equivalence
Specifies a test for equivalence of the mean to a reference value.
Superiority
Specifies a test for superiority of the mean to a reference value.
Non-inferiority
Specifies a test for non-inferiority of the mean to a reference value.
Upper Margin
Specifies the maximum value, above which the mean is considered different from the reference mean
Lower Margin
Specifies the minimum value, below which the mean is considered different from the reference mean.
Use symmetric bounds
Select for symmetric margins or bounds. If both bounds are negative, the upper bound is set to the positive of the lower bound. If both bounds are positive, the lower bound is set to the negative of the upper bound. If bounds are on either side of zero, the upper bound is set to the absolute value of the largest bound and the lower bound is then set to the negative of the upper bound.
Note: Typically, the equivalence margin is symmetric. However, it does not have to be symmetric.
Preliminary Information
Alpha
The probability of a type I error, which is the probability of rejecting the null hypothesis when it is true. It is commonly referred to as the significance level of the test. The default alpha level is 0.05.
Population Standard Deviation
Specifies the distribution for calculations.
Yes
Specifies known group standard deviations, calculations use the z distribution.
No
Specifies unknown group standard deviations, calculations use the t distribution.
The profiler enables you to visualize the impact of sample size assumptions on the power calculations.
Total Sample Size
Specifies the total number of observations (runs, experimental units, or samples) needed for your experiment. Select Lock to lock the total sample size
Solve for
Enables you to solve for a sample size, difference to detect, or a group standard deviation.
Power
Specifies the probability of rejecting the null hypothesis when it is false. With all other parameters fixed, power increases as sample size increases.
Group 1 Sample Size
Specifies the number of observations (runs, experimental units, or samples) needed for Group 1 in your experiment.
Group 2 Sample Size
Specifies the number of observations (runs, experimental units, or samples) needed for Group 2 in your experiment.
Difference to Detect
Specifies the smallest difference between the group means that you want to be able to declare statistically significant.
Group 1 StdDev (σ1)
Specifies the assumed standard deviation for one of your groups, Group 1. An estimate of the error standard deviation could be the root mean square error (RMSE) from a previous model fit.
Group 2 StdDev (σ2)
Specifies the assumed standard deviation for the second group, Group 2. An estimate of the error standard deviation could be the root mean square error (RMSE) from a previous model fit.
Note: Adjusting the sample size for one group adjusts the total sample size unless the total sample size is locked. In that case, adjusting the sample size for one group adjust the sample size for the second group. Use the text boxes to specify group sample sizes.
The Explorer red triangle menu and report buttons provide additional options:
Simulate Data
Opens a data table of simulated data based on the explorer settings. View the simulated response column formula for the settings used.
Make Data Collection Table
Creates a new data table that you can use for data collection. The table includes scripts to facilitate data analysis.
Save Settings
Saves the current settings to the Saved Settings table. This enables you to save a set of alternative study plans. See Saved Settings in the Sample Size Explorers.
Help
Opens JMP help.
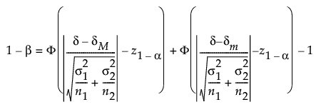
The power calculations for testing equivalence of two group means is based on methods described in Chow et al. (2008).
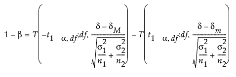
If σ1 and σ2 are unknown, the power (1-β) is computed as follows:

where:

α is the significance level
n1 and n2 are the group sample sizes
σ1 and σ2 are the assumed group standard deviations
δ is the difference to detect
(δm, δM) is the equivalence range
t1-α,ν,is the (1 - α)th quantile of the central t-distribution with ν degrees of freedom
T(t; ν, λ) is the cumulative distribution function of the non-central t distribution with ν degrees of freedom and non-centrality parameter λ.
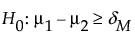
If σ is known, then power (1-β) is computed as follows:
