For the latest version of JMP Help, visit JMP.com/help.


Discovering JMP > Save and Share Your Work > Save Reports as Interactive HTML
Publication date: 05/05/2023

Save Reports as Interactive HTML

Interactive HTML enables JMP users to share reports that contain dynamic graphs so that even non JMP users can explore the data. The JMP report is saved as a web page in HTML 5 format, which you can email to users or publish on a website. Users then explore the data as they would in JMP.

Interactive HTML provides a subset of features from JMP:

Explore interactive graph features, such as selecting histogram bars and viewing data values.

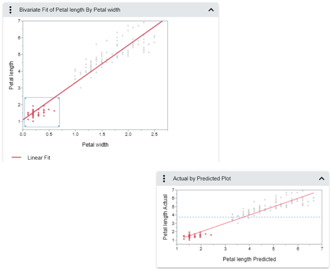
View data by brushing.

Show or hide report sections.

Hover over the report for tooltips.

Increase the marker size.

Figure 7.14 Brushing Data in Interactive HTML 

Brushing Data in Interactive HTML

Many changes that you make to the graphs, such as ordered variables, horizontal histograms, background colors, and colored data points, are saved in the web page. Graphs and tables that are closed when you save the content remain closed on the web page until the user opens them.

Want more information? Have questions? Get answers in the JMP User Community (community.jmp.com).