Statistical Details for Estimation MethodsIn the Generalized Regression personality of the Fit Model platform, the estimation methods include penalized regression methods, which introduce bias to the regression coefficients by penalizing them.
Ridge RegressionRidge regression applies an l2 penalty to the regression coefficients. Ridge regression coefficient estimates are defined as follows:
,
where
is the l2 penalty, λ is the tuning parameter, N is the number of rows, and p is the number of variables.
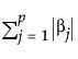
Dantzig SelectorThe Dantzig Selector method applies an l∞ norm to the inner products of the residuals and X columns. Coefficient estimates for the Dantzig Selector satisfy the following criterion:

where
denotes the l∞ norm, which is the maximum absolute value of the components of the vector v,
is the l1 penalty, and t is the tuning parameter.
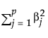
Lasso RegressionThe Lasso method applies an l1 penalty to the regression coefficients. Coefficient estimates for the Lasso are defined as follows:
,
where
is the l1 penalty, λ is the tuning parameter, N is the number of rows, and p is the number of variables
Elastic NetThe Elastic Net method combines both l1 and l2 penalties. Coefficient estimates for the Elastic Net are defined as follows:
,
This is the notation used in the equation:
is the l1 penalty
is the l2 penalty
λ is the tuning parameter
α is a parameter that determines the mix of the l1 and l2 penalties
N is the number of rows
p is the number of variables
Tip: There are two sample scripts that illustrate the shrinkage effect of varying α and λ in the Elastic Net for a single predictor. Select Help > Sample Index, click Open the Sample Scripts Directory, and select demoElasticNetAlphaLambda.jsl or demoElasticNetAlphaLambda2.jsl. Each script contains a description of how to use it and what it illustrates.
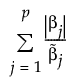
Adaptive MethodsThe adaptive Lasso method uses weighted penalties to provide consistent estimates of coefficients. The weighted form of the l1 penalty is defined as follows:

where
is the MLE when the MLE exists. If the MLE does not exist and the response distribution is normal, estimation is done using least squares and
is the solution obtained using a generalized inverse. If the response distribution is not normal,
is the ridge solution.
For the adaptive Lasso, this weighted form of the l1 penalty is used in determining the
coefficients.
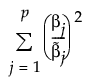
The adaptive Elastic Net uses this weighted form of the l1 penalty and also imposes a weighted form of the l2 penalty. The weighted form of the l2 penalty for the adaptive Elastic Net is defined as follows:

where
is the MLE when the MLE exists. If the MLE does not exist and the response distribution is normal, estimation is done using least squares and
is the solution obtained using a generalized inverse. If the response distribution is not normal,
is the ridge solution.