For more information about the calculations of the limits used in the Range Chart, see “Statistical Details for XBar and R Charts”. For more information about the calculations of the limits used in the Standard Deviation Chart, see “Statistical Details for XBar and S Charts”.
This section contains computational details for statistics in the Measurement Systems Analysis platform.
Intraclass Correlation without bias is computed as follows:

Intraclass Correlation with bias is computed as follows:

Intraclass Correlation with bias and interaction factors is computed as follows:

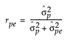
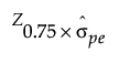
Probable Error is computed as follows:

Note the following:
= variance estimate for pure error
= variance estimate for product
= variance estimate for bias factors
= variance estimate for interaction factors
Z0.75 = the 75% quantile of standard normal distribution