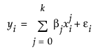
A polynomial of degree 2 is a parabola; a polynomial of degree 3 is a cubic curve. For degree k, the model for the ith row is defined as follows:

where
is the response value at xi, the ith observation
βj is the jth parameter
k is the degree of the polynomial
εi is the error term for the model