Statistical Details for Distributions
The distributions fit by the Generalized Regression personality are defined in terms of the parameters used in model fitting. Although it is not specifically stated as part of their descriptions, the Generalized Regression personality enables you to specify noninteger values for the discrete distributions.
Continuous Distributions
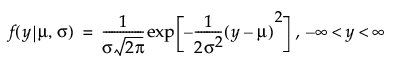
Normal Distribution



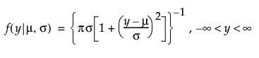
Cauchy Distribution



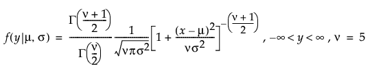
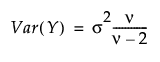
t(5) Distribution



Exponential Distribution



Gamma Distribution



Weibull Distribution



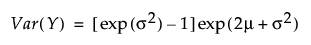
LogNormal Distribution



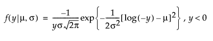
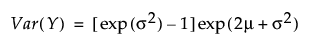
Negative LogNormal Distribution



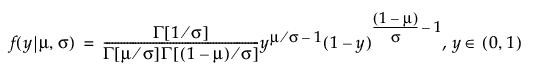
Beta Distribution



Discrete Distributions
Binomial Distribution



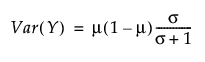
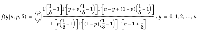
Beta Binomial Distribution



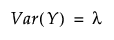
Poisson Distribution



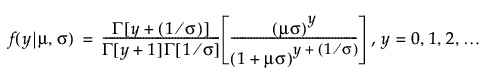
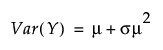
Negative Binomial Distribution



Zero-Inflated Distributions
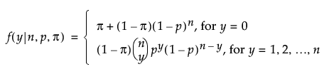
Zero-Inflated Binomial Distribution



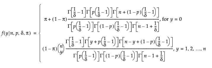
Zero-Inflated Beta Binomial Distribution



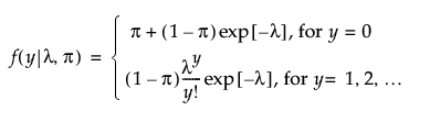
Zero-Inflated Poisson Distribution



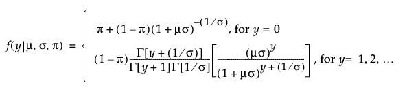
Zero-Inflated Negative Binomial Distribution



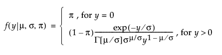
Zero-Inflated Gamma Distribution


