The algorithms for Fast Flexible Filling space filling designs for mixtures begin by generating a large number of random points within the specified design region. These points are then clustered using a Fast Ward algorithm into a number of clusters that equals the Number of Runs that you specified.
The final design points can be obtained by using the default MaxPro (maximum projection) optimality criterion or by selecting the Centroid criterion. You can find these options under FFF Optimality Criterion in the report’s red triangle menu.
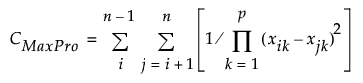
MaxPro
For p factors and n equal to the specified Number of Runs, the MaxPro criterion strives to find points in the clusters that minimize the following criterion:

The MaxPro criterion maximizes the product of the distances between potential design points in a way that involves all factors. This supports the goal of providing good space-filling properties on projections of factors. See Joseph et al. (2015). The Max Pro option is the default.
Centroid
This method places a design point at the centroid of each cluster. It has the property that the average distance from an arbitrary point in the design space to its closest neighboring design point is smaller than for other designs.
Note: You can set a preference to always use a given optimality criterion. Select File > Preferences > Platforms > DOE. Select FFF Optimality Criterion and select your preferred criterion.