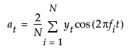
In the Time Series platform, the least squares estimates of the coefficients of the Fourier series are computed as follows:


Then the fi = i/N are combined to form the periodogram I(fi) = (N/2)(ai2 + bi2), which represents the intensity at frequency fi.
The periodogram is then smoothed and scaled by 1/(4π) to form the spectral density.
For more information, see Bloomfield (2004).