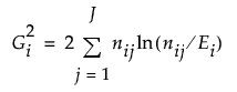
The likelihood ratio Chi-square test statistic computed in the Pareto Plot platform uses the following notation:
• nij is the count for Cause i in Group j.
• Ej is the expected count for Group j. This is the mean count of each group, across causes.
• Ei is the expected count for Cause i. This is the mean count of each cause, across groups.

