In a designed experiment, the Alias Matrix entries represent the degree of bias imparted to model parameters by the effects that you specified in the Alias Terms section. The Alias Matrix is also used in defining alias optimality. See Alias Optimality.
Calculations for the Alias Matrix are based on the model matrix. See Model Matrix.
Let X1 be the model matrix corresponding to the terms in the Model section. Denote the matrix of model terms for the effects specified in the Alias Terms section by X2.
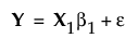
The assumed model is given as follows:

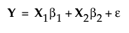
Suppose that some of the alias terms are active and that the true model is given as follows:

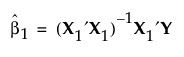
The least squares estimator of β1 is given by the following equation:

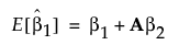
Under the usual regression assumptions, the expected value of
is given by the following equation:

where
.
The matrix A is called the alias matrix.