Use the Margin of Error for Two Independent Sample Proportions Explorer to determine a sample size for a confidence interval for the difference in two proportions, for log relative risk, or for log odds. Select DOE > Sample Size Explorers > Confidence Intervals > Margin of Error for Two Independent Sample Proportions. Explore the trade offs between variability assumptions, sample size, significance, and the margin of error for your interval.
Set study assumptions and explore sample sizes using the radio buttons, text boxes, and menus. The profiler updates as you make changes to the settings. Alternatively, change settings by dragging the cross hairs on the profiler curves.
Interval Type
One-sided
Specifies one side of the interval (upper or lower bound)
Two-sided
Specifies a two-sided interval.
Interval Purpose
Difference in Proportions
Specifies a confidence interval for the difference in two proportions (p1 - p2).
Log Relative Risk
Specifies a confidence interval for the relative risk (p1/p2) on a log scale.
Log Odds Ratio
Specifies a confidence interval for the odds ratio (p1/(1-p1))/(p2/(1-p2)) on a log scale.
Preliminary Information
Alpha
Specifies the confidence level, 1 - Alpha. The default alpha level is 0.05 for a 95% confidence interval.
The profiler enables you to visualize the impact of sample size assumptions on the margin of error calculations.
Total Sample Size
Specifies the total number of observations (runs, experimental units, or samples) needed for your experiment. The margin of error curve is based on total sample size. Select Lock to lock the total sample size.
Solve for
Enables you to solve for a sample size or an assumed proportion.
Margin of Error
Specifies the half-width of a two-sided interval or the width of a one-sided interval. With all other parameters fixed, margin of error decreases as sample size increases.
Group 1 Sample Size
Specifies the number of observations (runs, experimental units, or samples) needed for Group 1 in your experiment.
Group 2 Sample Size
Specifies the number of observations (runs, experimental units, or samples) needed for Group 2 in your experiment.
Group 1 Proportion
Specifies the assumed proportion for Group 1.
Group 2 Proportion
Specifies the assumed proportion for Group 2.
Note: Adjusting the sample size for one group adjusts the total sample size unless the total sample size is locked. In that case, adjusting the sample size for one group adjust the sample size for the second group.
The Explorer red triangle menu and report buttons provide additional options:
Simulate Data
Opens a data table of simulated data based on the explorer settings. View the simulated response column formula for the settings used.
Make Data Collection Table
Creates a new data table that you can use for data collection. The table includes scripts to facilitate data analysis.
Save Settings
Saves the current settings to the Saved Settings table. This enables you to save a set of alternative study plans. See Saved Settings in the Sample Size Explorers.
Reset to Defaults
Resets all parameters and graphs to their default settings.
Help
Opens JMP online help.
The calculations for each interval type are based on normal approximations.
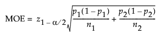
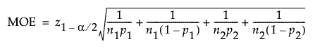
For intervals about the difference in proportions the margin of error (MOE) for a two-sided confidence interval is calculated as follows:

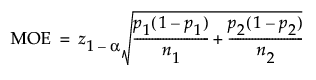
The MOE for a one-sided interval is calculated as follows:

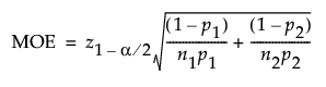
For the logarithm of the relative risk the margin of error (MOE) is calculated as follows:

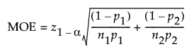
The MOE for a one-sided interval is calculated as follows:

For the logarithm of the odds ratio, the margin of error is calculated as follows:

The MOE for a one-sided interval is calculated as follows:

where:
α is the significance level
n1 and n2 are the group sample sizes
p1 and p2 are the group proportions
z1-α is the (1 - α)th quantile of the distribution.