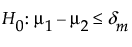
Use the Power for Two Independent Sample Equivalence of Means Explorer to determine a sample size for an equivalence, superiority, or non-inferiority test of two group means. Select DOE > Sample Size Explorers > Power > Power for Two independent Sample Equivalence. Explore the trade offs between variability assumptions, sample size, power, significance, and the margin of interest. Sample size and power are associated with the following hypothesis test:
or 
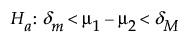
versus the alternative:

where μ1 and μ2 the true group means and (δm, δM) is the equivalence range for an equivalence test. For superiority or non-inferiority tests only one side of the alternative hypothesis is used. For the same significance level and power, a larger sample size is needed to detect a small difference than to detect a large difference. It is assumed that the populations of interest are normally distributed.
Set study assumptions and explore sample sizes using the radio buttons, text boxes, and menus. The profiler updates as you make changes to the settings. Alternatively, change settings by dragging the cross hairs on the profiler curves.
Test Type
Options to specify your test.
Equivalence
Specifies a test for equivalence of the means of two groups.
Superiority
Specifies a test for superiority of one group mean to another group mean.
Non-inferiority
Specifies a test for non-inferiority of one group mean to another group mean.
Upper Margin
(Available only for equivalence tests.) Specifies the maximum value, above which the difference in means is considered different.
Lower Margin
(Available only for equivalence tests.) Specifies the minimum value, below which the difference in means is considered different.
Use symmetric bounds
(Available only for equivalence tests.) Sets the margins to be symmetric.
Note: Typically, the equivalence margin is symmetric.
Test Direction
(Available for superiority or non-inferiority tests.) Specifies the direction of the alternative hypothesis.
Upper is Better
Indicates that the alternative hypothesis is a greater than hypothesis.
Lower is Better
Indicates that the alternative hypothesis is a less than hypothesis.
Tip: Use the diagram to evaluate if your test is set up as desired. The red arrow depicts the direction of the null hypothesis while the blue arrow depicts the direction of the alternative hypothesis.
Margin
(Available for superiority or non-inferiority tests.) Specifies the superiority or non-inferiority margin.
Preliminary Information
Options to specify for your test.
Alpha
The probability of a type I error, which is the probability of rejecting the null hypothesis when it is true. It is commonly referred to as the significance level of the test. The default alpha level is 0.05.
Population Standard Deviation
Specifies the distribution for calculations.
Yes
Specifies known group standard deviations, calculations use the z distribution.
No
Specifies unknown group standard deviations, calculations use the t distribution.
The profiler enables you to visualize the impact of sample size assumptions on the power calculations.
Total Sample Size
Specifies the total number of observations (runs, experimental units, or samples) needed for your experiment. Select Lock to lock the total sample size
Solve for
Enables you to solve for a sample size, difference to detect, or a group standard deviation.
Power
Specifies the probability of rejecting the null hypothesis when it is false. With all other parameters fixed, power increases as sample size increases.
Group 1 Sample Size
Specifies the number of observations (runs, experimental units, or samples) needed for Group 1 in your experiment.
Group 2 Sample Size
Specifies the number of observations (runs, experimental units, or samples) needed for Group 2 in your experiment.
Difference to Detect
Specifies the smallest difference between the group means that you want to be able to declare statistically significant.
Group 1 StdDev (σ1)
Specifies the assumed standard deviation for one of your groups, Group 1. An estimate of the error standard deviation could be the root mean square error (RMSE) from a previous model fit.
Group 2 StdDev (σ2)
Specifies the assumed standard deviation for the second group, Group 2. An estimate of the error standard deviation could be the root mean square error (RMSE) from a previous model fit.
Note: Adjusting the sample size for one group adjusts the total sample size unless the total sample size is locked. In that case, adjusting the sample size for one group adjust the sample size for the second group. Use the text boxes to specify group sample sizes.
The Explorer red triangle menu and report buttons provide additional options:
Simulate Data
Opens a data table of simulated data based on the explorer settings. View the simulated response column formula for the settings used.
Make Data Collection Table
Creates a new data table that you can use for data collection. The table includes scripts to facilitate data analysis.
Save Settings
Saves the current settings to the Saved Settings table. This enables you to save a set of alternative study plans. See Saved Settings in the Sample Size Explorers.
Reset to Defaults
Resets all parameters and graphs to their default settings.
Help
Opens JMP online help.
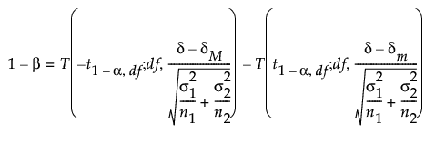
The power calculations for testing equivalence of two group means is based on methods described in Chow et al. (2008).
If σ1 and σ2 are unknown, the power (1-β) is computed as follows:

where:

α is the significance level
n1 and n2 are the group sample sizes
σ1 and σ2 are the assumed group standard deviations
δ is the difference to detect
(δm, δM) is the equivalence range
t1-α,ν,is the (1 - α)th quantile of the central t-distribution with ν degrees of freedom
T(t; ν, λ) is the cumulative distribution function of the non-central t distribution with ν degrees of freedom and non-centrality parameter λ.
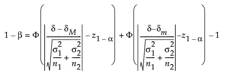
If σ is known, then power (1-β) is computed as follows:
