For the latest version of JMP Help, visit JMP.com/help.


Multivariate Methods > Discriminant Analysis > Statistical Details for the Discriminant Platform > Statistical Details for the Between Groups Covariance Matrix
Publication date: 03/03/2025

Statistical Details for the Between Groups Covariance Matrix

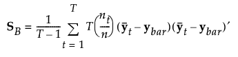
Using the notation in Table 5.2, the Between Groups Covariance matrix in the Discriminant platform is defined as follows:

Equation shown here

Want more information? Have questions? Get answers in the JMP User Community (community.jmp.com).