This section contains details for the Bivariate Normal Ellipse report in the Bivariate platform.
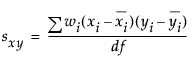
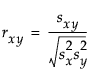
The Pearson correlation coefficient is denoted r, and is computed as follows:
where 
where wi is either the weight of the ith observation if a weight column is specified, or 1 if no weight column is assigned.