This section contains details for the Lack of Fit report in the Bivariate platform.
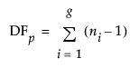
For the Pure Error DF, consider the cases where more than one observation has the same value for height. In general, if there are g groups having multiple rows with identical values for each effect, the pooled DF, denoted DFp, is defined as follows:

where ni is the number of observations in the ith group.
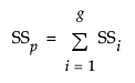
For the Pure Error SS, in general, if there are g groups having multiple rows with the same x value, the pooled SS, denoted SSp, is defined as follows:

where SSi is the sum of squares for the ith group corrected for its mean.
Because Pure Error is invariant to the form of the model and is the minimum possible variance, Max RSq is calculated as follows:
