For the latest version of JMP Help, visit JMP.com/help.


Publication date: 07/15/2025

Change the Matrix Format

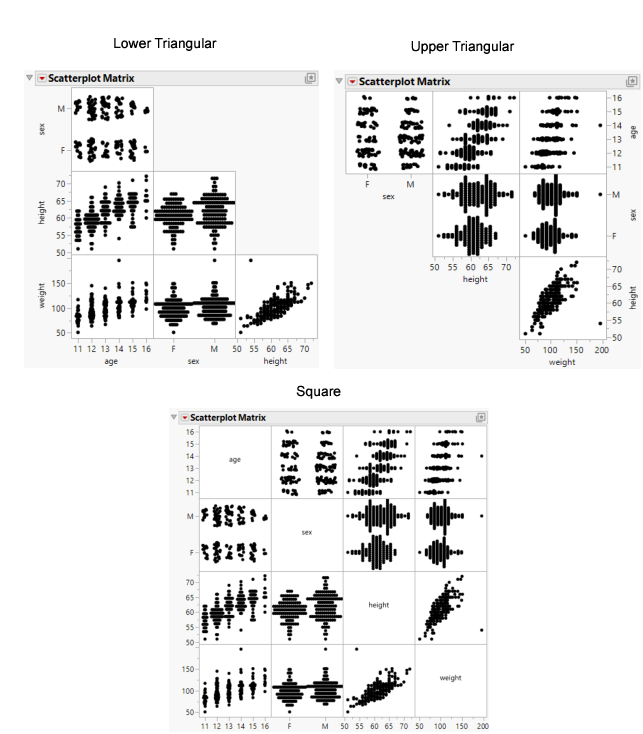
In the Scatterplot Matrix platform, the Matrix Format can be one of three arrangements: Upper Triangular, Lower Triangular, or Square.

Figure 6.8 Examples of Matrix FormatsĀ 

Examples of Matrix Formats

Want more information? Have questions? Get answers in the JMP User Community (community.jmp.com).