Use the Power for Two Correlated Sample Means Explorer to determine a sample size for a study of paired data. Paired data can occur when two samples, often at different points in time, are taken from the same unit. Before and after treatment measurements from a patient are one example. Select DOE > Sample Size Explorers > Power > Power for Two Correlated Sample Means. Explore the trade-offs between variability assumptions, sample size, power, and significance. Sample size and power are associated with the following hypothesis test:

versus the two-sided alternative:

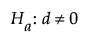
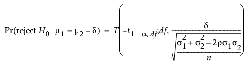
or versus a one-sided alternative:
or 
where μ1 and μ2 are the true correlated means. It is assumed that the populations of interest are normally distributed.
Note: Often, sample size for a paired study is determined by considering the difference in samples and using a one-sample test. This explorer allows for more complicated studies where the group variability is not assumed to be equal or there is a specified correlation structure between the sample pairs.
Set study assumptions and explore sample sizes by using the radio buttons, text boxes, and menus. The profiler updates as you make changes to the settings. Alternatively, you can change the settings by dragging the cross hairs on the profiler curves.
Test Type
Specifies a one- or two-sided hypothesis test.
Alpha
Specifies the probability of a type I error, which is the probability of rejecting the null hypothesis when it is true. It is commonly referred to as the significance level of the test. The default alpha level is 0.05.
Population Standard Deviation Assumption
Specifies the distribution for calculations.
Yes
Specifies known group standard deviations; calculations use the z distribution.
No
Specifies unknown group standard deviations; calculations use the t distribution.
The profiler enables you to visualize the impact of sample size assumptions on the power calculations. Interactive profiler changes to the sample size, assumed differences, standard deviations, or correlation update the calculated power. Interactive changes to the profiler power update the sample size. To solve for a specific variable, use the target variable setting and click Go.
Target Variable
Enables you to solve for the sample size, the assumed or alternative mean of paired differences, or the standard deviation of a group at a specified power.
Power
Specifies the probability of rejecting the null hypothesis when it is false. With all other parameters fixed, power increases as sample size increases.
Sample Size
Specifies the number of pairs of observations (runs, experimental units, or samples) that are needed for your experiment.
Assumed Mean of Paired Differences
Specifies the assumed mean difference in the paired samples, which is often 0.
Alternative Mean of Paired Differences
Specifies the alternative difference in the paired samples.
Note: The difference between the assumed and alternative differences determines the size of the difference that you want to detect.
Group 1 Std Dev (Noise)
Specifies the assumed standard deviation for one of your groups, specified as Group 1.
Group 2 Std Dev (Noise)
Specifies the assumed standard deviation for the second group, specified as Group 2.
Correlation
Specifies the correlation between the paired observations.
The Explorer red triangle menu and report buttons provide additional options:
Simulate Data
Opens a data table of simulated data that are based on the explorer settings. View the simulated response column formula for the settings that are used. Run the table script to analyze the simulated data.
Make Data Collection Table
Creates a new data table that you can use for data collection. The table includes scripts to facilitate data analysis.
Remember Settings
Saves the current settings to the Remembered Settings table. This enables you to save a set of alternative study plans. See Remembered Settings in the Sample Size Explorers.
Reset to Defaults
Resets all parameters and graphs to their default settings.
The Profiler red triangle menu contains the following option:
Optimization and Desirability
Enables you to optimize settings. See “Desirability Profiling and Optimization” in Profilers.
Note: The sample size explorer report can be saved as a *.jmpdoe file. Open the file to return to the explorer. An alert prompts you to save the file.
In this example, use the Power Explorer for Two Correlated Sample Means to estimate the number of subjects to use in an intervention study. You want at least 80% power to test for a difference in paired means of 2. The pre-measurements have an estimated standard deviation of 2 units. However, after treatment, you expect the standard deviation to be only 1.5 units. You are unsure about the correlation between the pre- and post-measurements, so you use a conservative value of 0.4. If the correlation is higher than 0.4, then you have more samples than needed for the specified power. Use a significance level of α = 0.05.
1. Select DOE > Sample Size Explorers > Power > Power for Two Correlated Sample Means.
2. Leave Test Type set to Two-Sided.
3. Leave Alpha set to 0.05.
4. Leave Target Variable set to Sample Size.
5. Leave Power set to 0.8.
6. In the Profiler, set the profilers to the following values:
– Assumed Mean of Paired Differences to 0.
– Alternative Mean of Paired Differences to 2.
– Group 1 Sted Dev (Noise) to 2.
– Group 2 Sted Dev (Noise) to 1.5.
– Correlation to 0.4.
7. Click Go to solve for the sample size with Power equal to 0.8
Figure 29.7 Two Correlated Mean Explorer
A sample size of 10 (determined by rounding 9.64 up to 10 subjects) enables the detection of a 2 unit difference in pre- and post-intervention results given the standard deviation and correlation assumptions.
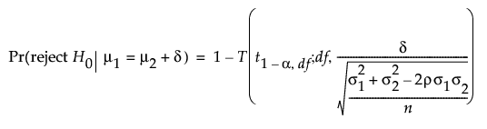
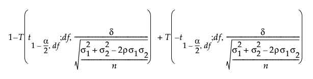
The power calculations for testing the difference in means of two sample groups are based on the traditional t test, or if σ1 and σ2 are known, the z test.
For the case when the group variances are unknown, the power is calculated based on the form of the alternative hypothesis.
For a one-sided, higher alternative (μ1 > μ2):

For a one-sided, lower alternative (μ1 < μ2):

For a two-sided alternative (μ1 ≠ μ2):


where:
α is the significance level
n is the sample size of each group
σ1 and σ2 are group standard deviations
ρ is the correlation between the paired measurements
δ is the difference to detect
t1-α,ν is the (1 - α)th quantile of the central t-distribution with ν degrees of freedom
T(t; ν, λ) is the cumulative distribution function of the non-central t distribution with ν degrees of freedom and non-centrality parameter λ.
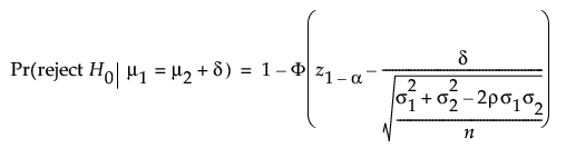
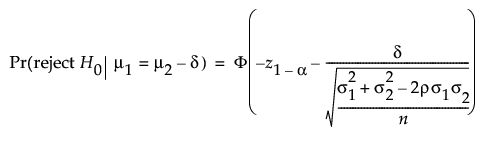
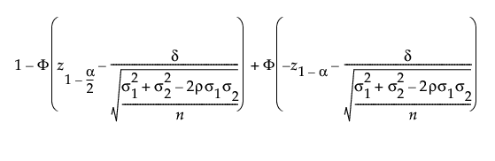
When σ1 and σ2 are known the z distribution is used for the power calculation. The power is calculated based on the form of the alternative hypothesis.
For a one-sided, higher alternative (μ1 > μ2):

For a one-sided, lower alternative (μ1 < μ2):

For a two-sided alternative (μ1 ≠ μ2):


where:
α is the significance level
n is the sample size of each group
σ1 and σ2 are known group standard deviations
ρ is the correlation between the paired measurements
δ is the difference to detect
z1-α is the (1 - α)th quantile of the z-distribution
Φ(x) is the cumulative distribution function of the normal distribution.