In the Multidimensional Scaling platform, transformations are used to scale the actual proximities. Transformations would be considered to improve the MDS representation of the actual proximities by taking into account-specific structures in the data. The parameters in the transformation functions become additional parameters in the minimization algorithm. The section uses the notation described in Statistical Details for the Stress Function.
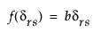
For ratio data:

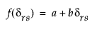
For interval data:

For ordinal data the data are not transformed, rather the algorithm uses monotone regression rather than least squares regression.