DRAFT help

Publication date: 12/16/2025

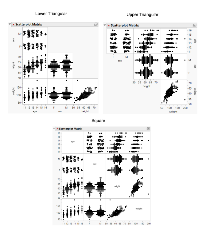
Change the Matrix Format

In the Scatterplot Matrix platform, the Matrix Format can be one of three arrangements: Upper Triangular, Lower Triangular, or Square.

Figure 6.8 Examples of Matrix FormatsĀ 

Examples of Matrix Formats

Want more information? Have questions? Get answers in the JMP User Community (community.jmp.com).