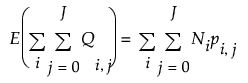
This section describes the computations for the estimates of the forecasts in the Reliability Forecast platform. The point estimate for incremental counts for sequential forecasting is computed as follows:

The point estimate for cumulative counts for cumulative forecasting is computed as follows:

where
Ni is the quantity of items that are deployed at time ti and at risk at ti
ti is the beginning of the interval Ti that runs from ti to ti+1
Qi,j is the failure count from Ni during interval Tj where i ≤ j and j ≥ 0
pi,j is the probability that a unit fails during interval Tj given that it has not failed by t0
For more information about computing point estimates of the forecast in a warranty forecasting system, see Liu and Wang (2013).