The table lists various statistics for each cross:
Cross
This column lists the cross numbers, starting at 1, up to the total number of crosses.
Mother Sex
This column lists the sex of the mother in the initial cross. The column name changes according to the name of the column entered in the Cross option. In this example, the column name was Sex, so Mother Sex is displayed. It is always Mother + the name of column in the Cross option.
Father Sex
This column lists the sex of the father in the initial cross. The column name changes according to the name of the column entered in the Cross option. In this example, the column name was Sex, so Father Sex is displayed. It is always Father + the name of the column in the Cross option.
Generation
This column lists the generation that the specific progeny is part of.
Minor Allele Frequency (MAF) Mean
This column shows the average MAF across all markers. The MAF represents the proportion of the minor allele for each marker in the observed population. This example assumes a biallelic marker locus M with alleles M1 and M2. Therefore, a sample of N individuals of even ploidy k can have k + 1 different genotypes at the locus. The number of individuals with i (i = 0, 1, 2, …, k) copies of allele M1 and j (j = 0, 1, 2, …, k) copies of allele M2 is denoted by Nij. The number n1 of copies of allele M1 can be found directly by summation: n1 = 0 × N00 + 1 × N10 + 2 × N20 + … + k × Nk0. The sample frequency of allele M1 is written as p1 = n1 / (k × n), the frequency of allele M2 is written as p2 = 1 - p1, and the sample frequency for each genotype carrying u copies of allele M1 and v copies of allele M2 is written as Pij = Nij / n.
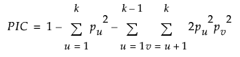
Polymorphism Information Content (PIC) Mean
This column shows the average PIC across all markers. The PIC (Botstein et al. 1980; Hilderbrand et al. 1992) measures the probability of differentiating the allele transmitted by a given parent to its child given the marker genotype of father, mother, and child.

Heterozygosity (HET) Mean
This column shows the average HET across all markers. The heterozygosity, sometimes called the observed heterozygosity, is the proportion of heterozygous individuals in the observed population.

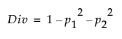
Allelic Diversity Mean
This column shows the average allelic diversity across all markers. The allelic diversity, sometimes called the expected heterozygosity, is the expected proportion of heterozygous individuals in the data set when HWE holds.

Pred Formula Trait Mean
This column lists the mean of the predicted trait value for the progeny of each cross at each generation.
Pred Formula Trait Standard Error of Mean
This column lists the standard error of the mean of the predicted trait value for the progeny of each cross at each generation. This value provides a measure of the expected variability.