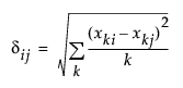
When the data table is an attributes list, it is converted to a distance matrix and then Multidimensional Scaling is applied. The distance matrix is calculated using Euclidean distance. For each pair of items define the distance between the items using the following formula:

where k is the number of attributes. It is assumed that the measures are on the same scale.