The statistic used in the Item Reliability option in the Multivariate red triangle menu is Cronbach’s α. Cronbach’s α is defined as follows:

where
k = the number of items in the scale
c = the average covariance between items
v = the average variance between items
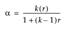
If the items are standardized to have a constant variance, the formula becomes

where
r = the average correlation between items
The larger the overall α coefficient, the more confident you can feel that your items contribute to a reliable scale or test. The coefficient can approach 1.0 if you have many highly correlated items.