Statistical Details for Extrapolation Control MetricsThe Extrapolation Control option in the Prediction Profiler has two metrics that are used to determine whether a point is an extrapolation. The type of metric used depends on the type of model fit.
In models that are fit in the Standard Least Squares personality of the Fit Model platform, the leverage at the factor settings is used as the default extrapolation metric.
The leverage of the ith observation, hii, is the ith diagonal entry of the matrix X(X′X)-1X′, sometimes called the hat matrix. The leverage for a new prediction point is calculated as hpred = x′pred(X′X)-1xpred. The following two criteria can be used to determine whether a prediction with leverage hpred is an extrapolation:
hpred > K × max(hii), where K is a customizable multiplier
hpred > L × p/n, where L is a customizable multiplier, p is the number of variables, n is the number of observations, and p/n is the average leverage
You can use the Set Threshold Criterion option to specify which criterion is used and the value of the multiplier. The default values of the multipliers are K = 1 and L = 3.
Note: Extrapolation control on profilers run from the graph menu using a saved least squares model do not implement the leverage methodology. Instead, the Regularized Hotelling's T2 methodology is used.
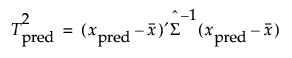
In models other than least squares models, the Regularized Hotelling’s T2 value is used as the default extrapolation metric. The T2 value for the training data and T2 values for the prediction points are calculated as follows:


where
is the Schafer and Strimmer regularized covariance matrix estimator estimated on the training data. The target matrix used for the Schafer Strimmer estimator is a diagonal covariance matrix. See Schafer and Strimmer (2005). In platforms that train models using observations with missing values, the covariance matrix is estimated with pairwise deletion.
Note: Categorical variables are converted to indicator variables for these calculations.
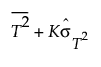
The calculation of the threshold depends on the number of nonmissing T2 values computed on the training data.
• If there are ten or more nonmissing T2 values, the threshold is set as follows:

where
K is a customizable multiplier and is set to 3 by default
is the standard deviation of the T2 values.
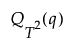
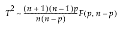
• If there are less than ten nonmissing T2 values, the threshold is set using an F distribution quantile equivalent to a Kσ limit.

where
q= Φ(K)
Φ(·) is the standard normal distribution
K is a customizable multiplier and is set to 3 by default

p is the number of parameters
n is the number of nonmissing T2 values
If you select K Nearest Neighbors as the Extrapolation Type Option, k nearest neighbor distances are used to calculate both the extrapolation metric and the threshold. The following notation is used for this method.
= the matrix of standardized predictors
xi = the ith point in the data
n = number of observations
p = number of predictors
k = number of near neighbors
d(x, x′) = the Euclidean distance between two points
= the kth nearest neighbor of the ith point, xi
For the factor settings defined by x, the extrapolation metric is d(x, x(1)). This is the distance between the point defined by the factor settings and it’s first nearest neighbor in the data. The threshold is set using the following equation:

where
is the mean of the pairwise distances between all points and their k neighbors
is the standard deviation of the pairwise distances between all points and their k neighbors.