In Control Chart Builder, the lower and upper control limits, LCL, and UCL, are computed using the following formulas:
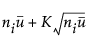
U chart LCL = 
U chart UCL = 
C chart LCL = 
C chart UCL = 
Laney U′ chart LCL = 
Laney U′ chart UCL = 
The limits vary with ni.
ui is the number of nonconformities per unit in the ith subgroup. In general, ui = ci/ni.
K is the sigma multiplier and is set to 3 by default
σz is a moving range sigma calculated from the standardized values
ci is the total number of nonconformities in the ith subgroup
ni is the number of inspection units in the ith subgroup
is the average number of nonconformities per unit taken across subgroups. The quantity
is computed as a weighted average

N is the number of subgroups