Galería de gráficos de JMP
Fecha de publicación: 08/20/2023

Galería de gráficos de JMP

Gráficos diversos y sus plataformas

Aquí se muestran imágenes de muchos de los gráficos que se pueden crear con JMP. Cada imagen está etiquetada con la plataforma utilizada para crearla. Para obtener más información acerca de las plataformas y estos u otros gráficos, consulte la Biblioteca de documentación de JMP en el menú Ayuda > Libros.

Image shown here

Histograma

Análisis > Distribución

Image shown here

Bivariante

Análisis > Ajustar Y en función de X

Image shown here

Univariante

Análisis > Ajustar Y en función de X

Image shown here

Prueba t univariante

Análisis > Ajustar Y en función de X

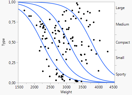
Image shown here

Logístico

Análisis > Ajustar Y en función de X

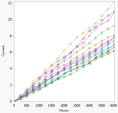
Image shown here

Gráfico en mosaico

Análisis > Ajustar Y en función de X

Image shown here

Pares pareados

Análisis > Modelización especializada > Pares pareados

Image shown here

Gráfico de apalancamiento

Análisis > Ajuste del modelo

Image shown here

Gráfico de medias de mínimos cuadrados

Análisis > Ajuste del modelo

Image shown here

MANOVA

Análisis > Ajuste del modelo

Image shown here

Partición

Análisis > Modelización predictiva > Partición

Image shown here

Diagrama neuronal

Análisis > Modelización predictiva > Neuronal

Image shown here

Observados frente a predichos

Análisis > Modelización predictiva > Comparación de modelos

Image shown here

Ajuste no lineal

Análisis > Modelización especializada> No lineal

Image shown here

Perfilador de superficie

Análisis > Modelización especializada> Proceso gaussiano

Image shown here

Serie de tiempo

Análisis > Modelización especializada > Serie de tiempo

Image shown here

Cribado

Análisis > Modelización especializada > Modelos DOE especializados > Ajustar cribado de dos niveles

Image shown here

FDR pValue Plot

Análisis > Cribado > Cribado de respuestas

Image shown here

Matriz de gráficos de dispersión

Análisis > Métodos multivariantes > Multivariante

Image shown here

Dendrograma

Análisis > Conglomeración > Conglomerado jerárquico

Image shown here

Mapa autorganizado

Análisis > Conglomeración > Conglomerado de K medias

Image shown here

Componentes principales

Análisis > Métodos multivariantes > Componentes principales

Image shown here

Gráfico canónico

Análisis > Métodos multivariantes > Discriminante

Image shown here

Gráfico de coeficientes

Análisis > Métodos multivariantes > Mínimos cuadrados parciales

Image shown here

Gráficos X-Barra y R

Análisis > Calidad y proceso > Generador del gráfico de control

Image shown here

Gráfico de medias

Análisis > Calidad y proceso > Análisis de sistemas de medición

Image shown here

Gráfico de variabilidad

Análisis > Calidad y proceso > Gráfico de variabilidad/por atributor

Image shown here

Gráfico de portería

Análisis > Calidad y proceso > Capacidad de proceso

Image shown here

Gráfico de mediciones individuales

Gráfico de rangos móviles

Análisis > Calidad y proceso > Gráfico de control > IMR

Image shown here

Gráfico X-Barra

Análisis > Calidad y proceso > Gráfico de control > X-Barra

Image shown here

Gráfico de Pareto

Análisis > Calidad y proceso > Gráfico de Pareto

Image shown here

Diagrama de Ishikawa

Diagrama de espina de pez

Análisis > Calidad y proceso > Diagrama

Image shown here

Comparar distribuciones

Análisis > Confiabilidad y supervivencia > Distribución de la vida

Image shown here

Superposición no paramétrica

Análisis > Confiabilidad y supervivencia > Ajustar vida por X

Image shown here

Gráfico de dispersión

Análisis > Confiabilidad y supervivencia > Ajustar vida por X

Image shown here

Gráfico de la MCF

Análisis > Confiabilidad y supervivencia > Análisis de recurrencia

Image shown here

Superposición

Análisis > Confiabilidad y supervivencia > Degradación

Image shown here

Intervalo de predicción

Análisis > Confiabilidad y supervivencia > Degradación destructiva

Image shown here

Pronóstico

Análisis > Confiabilidad y supervivencia > Pronóstico de confiabilidad

Image shown here

Weibull NHPP por tramos

Análisis > Confiabilidad y supervivencia > Crecimiento de confiabilidad

Image shown here

Diagrama de bloque de confiabilidad

Análisis > Confiabilidad y supervivencia > Diagrama de bloque de confiabilidad

Image shown here

Gráfico de fallas

Análisis > Confiabilidad y supervivencia > Supervivencia

Image shown here

Cuantiles de supervivencia

Análisis > Confiabilidad y supervivencia > Ajuste por la función de supervivencia paramétrica

Image shown here

Supervivencia de referencia

Análisis > Confiabilidad y supervivencia > Ajuste por riesgos proporcionales

Image shown here

Perfilador de mezclas

Análisis > Investigación sobre consumidores > Variables categóricas

Image shown here

Gráfico de cargas factoriales

Análisis > Métodos multivariantes > Análisis factorial

Image shown here

Perfil de predicción

Análisis > Investigación sobre consumidores > Elección

Image shown here

Curvas características

Análisis > Métodos multivariantes > Análisis de ítems

Image shown here

Análisis de correspondencias múltiples

Análisis > Métodos multivariantes > Análisis de correspondencias múltiples

Image shown here

Modelo de elevación

Análisis > Investigación sobre consumidores > Elevación

Image shown here

Gráfico dual

Análisis > Métodos multivariantes > Análisis de ítems

Image shown here

Gráficos de líneas

Gráficos > Constructor de gráficos

Image shown here

Diagramas de caja

Gráficos > Constructor de gráficos

Image shown here

Gráfico de barras apilado

Gráficos > Constructor de gráficos

Image shown here

Gráfico circular

Gráficos > Constructor de gráficos

Image shown here

Gráfico de líneas y agujas

Gráficos > Constructor de gráficos

Image shown here

Método de alisado

Gráficos > Constructor de gráficos

Image shown here

Gráfico de dispersión tridimensional

Gráficos > Gráfico de dispersión 3D

Image shown here

Gráfico de dispersión tridimensional

Gráficos > Gráfico de dispersión 3D

Image shown here

Gráfico de contorno

Gráficos > Constructor de gráficos

Image shown here

Gráfico de burbujas

Gráficos > Gráfico de burbujas

Image shown here

Gráfico paralelo

Gráficos > Constructor de gráficos

Image shown here

Gráfico de celdas

Gráficos > Gráfico de celdas

Image shown here

Mapa en árbol

Gráficos > Constructor de gráficos

Image shown here

Matriz de gráficos de dispersión

Gráficos > Matriz de gráficos de dispersión

Image shown here

Gráfico ternario

Gráficos > Gráfico ternario

Image shown here

Perfilador de predicción

Gráficos > Perfilador

Image shown here

Perfilador de contorno

Gráficos > Perfilador de contorno

Image shown here

Gráfico de superficie

Gráficos > Gráfico de superficie

Image shown here

Perfilador de mezclas

Gráficos > Perfilador de mezclas

Image shown here

Escalado multidimensional

Análisis > Métodos multivariantes > Escalado multidimensional

Image shown here

Diferencia máxima

Análisis > Investigación sobre consumidores > Diferencia máxima

Image shown here

Gráfico de patrones de estrés

Análisis > Confiabilidad y supervivencia > Daño acumulativo

Image shown here

Simulación de sistemas reparables

Análisis > Confiabilidad y supervivencia > Simulación de sistemas reparables

Image shown here

Análisis de clases latentes

Análisis > Conglomeración > Análisis de clases latentes

Image shown here

Cribado del predictor

Análisis > Cribado > Cribado del predictor

Image shown here

Cribado del proceso

Análisis > Calidad y proceso > Cribado del proceso

Image shown here

Explorador de texto

Análisis > Explorador de texto

Image shown here

Análisis de múltiples factores

Análisis > Investigación sobre consumidores > Análisis de múltiples factores

Image shown here

Gráfico de control multivariante controlado por el modelo

Análisis > Calidad y proceso > Gráfico de control multivariante basado en un modelo

Image shown here

Modelos de ecuaciones estructurales

Análisis > Métodos multivariantes > Modelos de ecuaciones estructurales

Image shown here

Máquinas de vectores de soporte

Análisis > Modelo predictivo > Máquinas de vectores de soporte

¿Quieres más información? ¿Tiene preguntas? Obtenga respuestas en la comunidad de usuarios de JMP (community.jmp.com).