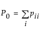
2名の評価者が、n個の対象を判定したとします。2人の判定者の判定が完全に一致している場合は、カッパ係数が1になります。観測された一致が、偶然によって一致する期待値を上回ると、カッパ係数は正の値になります。カッパ係数が大きいほど、一致性の高いことを示します。実際にはほとんどあり得ませんが、観測された一致が、偶然によって一致する期待値を下回ると、カッパは負になります。カッパ係数の最小値は、周辺度数に応じて-1から0までの間の値を取ります。
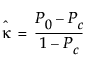
カッパ係数は、次式により計算されます。
この式で、
および
ここで、
は
番目のセルの個体の比率であり、
が成り立つことに注意してください。
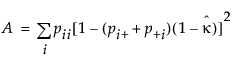
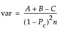
単純なカッパ係数の漸近分散は、次のような推定式で計算されます。
この式で
、
および

Cohen(1960)とFleiss et al.(1969)を参照してください。
対称性に対するBowker検定は、「分割表における確率が対称である(pij=pjiである)」という帰無仮説を検定します。