アソシエーション分析における指標この節では、「アソシエーション分析」プラットフォームで使用される指標について説明します条件アイテム集合をX、帰結アイテム集合をYとし、それらのアソシエーションルールはX ⇒ Yで表すとします。Hahsler(2015)には、支持度、信頼度、リフト値など、アソシエーション分析で使われる指標のコレクションが含まれています。
支持度支持度は、該当のアイテム集合を含んでいるトランザクションの割合です。支持度は、あるトランザクションがあるアイテム集合を含む確率として見ることもできます。
条件アイテム集合Xの支持度Sは次のように定義されます。

ここで
NXは、アイテム集合Xを含むトランザクションの数です。
Nは、トランザクションの合計数です。
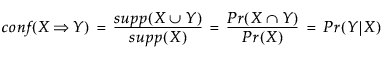
アソシエーションルールの支持度は次のように定義されます。

この場合、支持度は、あるトランザクションがXとYの両方のアイテム集合を含む確率と同じです。
アイテム集合の場合とアソシエーションルールの場合の両方に対し、支持度の範囲は0%~100%です。
信頼度信頼度は、条件アイテム集合を含むトランザクションのうち、帰結アイテム集合を含むものの割合を指します。また、信頼度は、あるトランザクションが条件アイテム集合を含んでいると仮定して、そのトランザクションが帰結アイテム集合を含む条件付き確率として見ることもできます。

信頼度の範囲は0%~100%です。信頼度が0%の場合、そのアソシエーションルールの帰結アイテム集合は、条件アイテム集合を含むトランザクションのいずれにも出現しません。信頼度が100%の場合、そのアソシエーションルールの条件アイテム集合を含むトランザクションは、必ず帰結アイテム集合も含みます。
注: アソシエーション分析の信頼度と信頼区間の概念との間に関連性はありません。
リフト値リフト値は、XとYの間の依存関係を示す指標です。

リフト値の分子は、X とYが一緒に生じるトランザクションの割合です。分母は、XとYが独立して生じると仮定した場合にXとYが一緒に生じる割合の期待値です。
リフト値の範囲は0~∞です。リフト値が1の場合、XとYは、まったくの偶然だけで一緒に生じると期待される頻度と同じ頻度で、一緒に生じています。リフト値が1より大きい場合、Xが生じた場合に、まったくの偶然だけよりも高い頻度でYは生じます。
注: アソシエーションルールX ⇒ Yのリフト値はアソシエーションルールY ⇒ Xのリフト値と同じです。