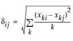
データ形式が[属性の元データ]である場合、データをまず距離行列に変換してから多次元尺度構成を適用します。距離行列は、ユークリッド距離を使って計算されます。項目間の距離の定義は、以下のとおりです。

ここで、kは属性の個数です。
注: 多次元尺度構成プラットフォームの別例については、「San Francisco Crime Distances.jmp」サンプルデータテーブルの「ソース」スクリプトも参照してください。このスクリプトでは、ペアごとの相関係数を使って距離行列を作成しています。作成された距離行列は、犯罪の種類間の関係を調べるために使用できます。