Box‐Coxのべき乗変換は、誤差の正規性と等分散性を満たすように変数変換するときに、よく用いられています。誤差の正規性と等分散性は、回帰モデルの前提となっています。ただし、Box‐Coxのべき乗変換は、その他の理由でも使われています。Box-Coxのべき乗変換は、応答変数の値がすべて正の場合にのみ適切です。
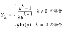
べき乗変換は変数変換の1つとしてよく使われていますが、Box and Cox(1964)によって、より一般的なべき乗変換が提案されました。Box and Cox(1964)によって提案された変換では、変換式がパラメータl、によって連続的に変化し、また、変換後の誤差平方和(残差平方和)を単純に比較できるようになっています。Box-Coxのべき乗変換は、次のとおりです。

ここで、
は幾何平均です。
[Box‐Cox Y変換]オプションは、l = –2 ~ 2 の間で、0.2刻みで変換してモデルをあてはめます。そして、lの適切な値を決めるために、これらの変換ごとに誤差平方和が計算されます。上式で変換された応答の誤差平方和は、応答を変換した後で、誤差が平均0で分散s2の互いに独立な正規分布に従うという仮定のもとで計算された対数尤度の相対的な大きさと一対一対応になっています。つまり、上式の変換での誤差平方和を最小にするlは、変換後の尤度を最大化します。SSEが最小となっている点とその前後の点で2次補間することにより、尤度を最大化するlを求めています。
「Box-Cox変換」レポートには、lの値に対してSSE(誤差平方和)がプロットされたグラフが表示されます。グラフの赤い横軸は、lの対する片側95%信頼区間を表します。この信頼区間は、Box and Cox(1964, p. 216)で定義された信頼区間に基づいています。この信頼区間は次の不等式で定義されます。
SSE(l) < SSE(lbest) * exp(ChiSquareQuantile(0.95,1) / dfe)
この式で、
SSE(lbest)は、レポートされたBest lを使用して計算されたSSEです。
ChiSquareQuantile(0.95,1) は、自由度1のc2分布における95%点です。
dfeは、回帰モデルの誤差自由度(分散分析表における誤差の自由度)です。
「Box‐Cox変換」レポートには、次のようなオプションがあります。
変換して再度あてはめ
ラムダの値を指定するウィンドウが呼び出され、そこで指定されたラムダで変換した応答変数を使って最小2乗法によるあてはめが新たに行われます。
変換した結果に置換
ラムダの値を指定するウィンドウが呼び出され、そこで指定されたラムダで変換した応答変数を使った結果に既存の結果を置き換えます。なお、応答変数が複数ある場合、[変換した結果に置換]を実行したときに置き換えられるレポートは、現在の応答変数に対するレポートだけです。
最良の変換を保存
データテーブル内に新しい列を作成し、そこに最良の変換式を保存します。
指定の変換を保存
ラムダの値を指定し、指定した変換の計算式を含む列をデータテーブル内に保存することができます。
推定値のテーブル
–2 ~ 2 のlの値について0.2刻みでパラメータ推定値と誤差平方和を計算し、新しいデータテーブルに保存します。
1. [ヘルプ]>[サンプルデータライブラリ]を選択し、「Reactor.jmp」を開きます。
2. [分析]>[モデルのあてはめ]を選択します。
3. 「Y」を選択し、[Y]をクリックします。
4. 「次数」ボックスに「2」が入力されていることを確認します。
5. 「送り速度」、「触媒」、「攪拌速度」、「温度」、および「濃度」を選択し、[マクロ]>[設定された次数まで]をクリックします。
6. [実行]をクリックします。
図3.54 Box-Cox Y変換
プロットを見ると、lの最良値は0.1 ~ 2.0の間にあることがわかります。l値を0.2刻みで求めた誤差平方和の2次補間から求めた最適値は、1.124です。
7. (オプション)グラフで描かれている誤差平方和の値を確認するには、[推定値のテーブル]を選択します。