次の表記を使用します。
n = 行数(標本サイズ)
A = 主成分の個数
Xci = i番目の行を標準化したデータ
i番目の行に対するT2値は次のような式で表されます。

ここで PAは最初からA次元までの固有ベクトル、Lは最初からA次元までの固有値を対角要素にもつ行列です。
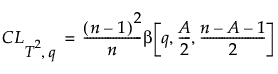
T2プロットの中央値と上側管理限界(UCL)は、次のように計算します。

ここで
をパラメータとするベータ分布のq分位点
中央値の計算には、q = 0.5を使用します。UCLの計算には、q = (1 - a)を使用します。
i番目の行におけるT2に対する寄与度は、次のような式で表されます。

注: 各行に関して、これらの寄与度の2乗和は、その行のTi2に等しくなります。